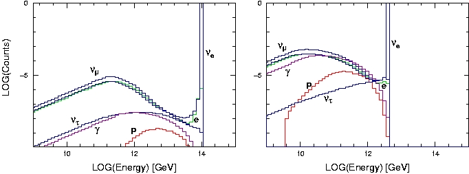
Energy distribution of particles in neutrino cascading. Primary Energy spectrum is monochromatic of electron-neutrinos only.